重庆垫江24镇、忠县25镇3年的变迁(2020-2023)


垫江新地图(2023版)

垫江和忠县一共有49个乡镇。作者多年来已多次发布过相关县市、乡镇人口、土地、经济相关文章,现在进行年度更新,与2020数据进行对比性回顾。

一、户籍人口、3年增减

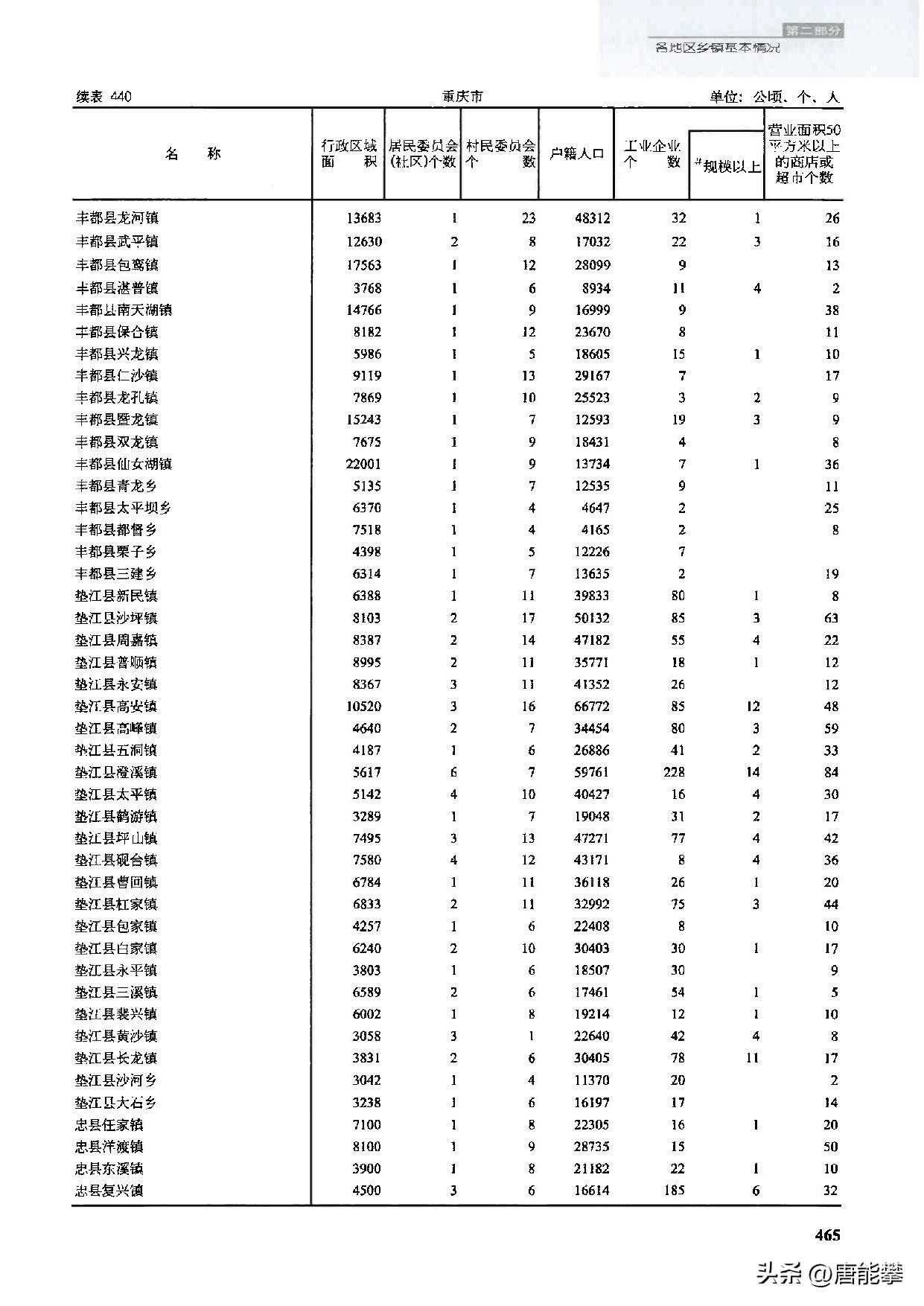
下表中第4列为截止2022年底的户籍人口数,第5列为相比2019年底的人口增加(黑体字)和减少(红体字、负数)数目。

乡镇

人口

增减

1

垫江县

高安镇

66772

-1767

2

忠县

拔山镇

60529

-1938

3

垫江县

澄溪镇

59761

1894

4

垫江县

沙坪镇

50132

-1141

5

忠县

新立镇

48626

-4734

6

垫江县

坪山镇

47271

-565

7

垫江县

周嘉镇

47182

115

8

忠县

马灌镇

45956

-1887

9

忠县

黄金镇

44028

-1945

10

忠县

白石镇

43897

-1869

11

忠县

汝溪镇

43696

-1552

12

垫江县

砚台镇

43171

-1147

13

垫江县

永安镇

41352

-1349

14

忠县

官坝镇

41215

-2177

15

忠县

石宝镇

40854

-2053

16

垫江县

太平镇

40427

-401

17

垫江县

新民镇

39833

-369

18

垫江县

曹回镇

36118

-915

19

垫江县

普顺镇

35771

-844

20

忠县

三汇镇

34626

-1565

21

垫江县

高峰镇

34454

-642

22

垫江县

杠家镇

32992

-899

23

垫江县

长龙镇

30405

28

24

垫江县

白家镇

30403

-612

25

忠县

洋渡镇

28735

-750

26

垫江县

五洞镇

26886

-434

27

忠县

双桂镇

26352

-861

28

忠县

花桥镇

25672

-985

29

忠县

金鸡镇

24871

-1108

30

忠县

野鹤镇

24197

-1961

31

忠县

涂井乡

23717

-1661

32

垫江县

黄沙镇

22640

-112

33

垫江县

包家镇

22408

172

34

忠县

任家镇

22305

-1209

35

忠县

东溪镇

21182

1338

36

忠县

永丰镇

20666

-819

37

垫江县

裴兴镇

19214

-724

38

垫江县

鹤游镇

19048

-762

39

垫江县

永平镇

18507

-364

40

忠县

磨子乡

18318

-437

41

垫江县

三溪镇

17461

-1329

42

忠县

复兴镇

16614

-770

43

垫江县

大石乡

16197

-572

44

忠县

石黄镇

15472

-930

45

忠县

善广乡

15449

-190

46

忠县

金声乡

14483

-589

47

忠县

兴峰乡

11430

-598

48

垫江县

沙河乡

11370

-145

49

忠县

石子乡

7644

691


3年来,43个乡镇人口减少(表中红字、负数),6个乡镇人口增加。49个乡镇总共减少4.3万人。这是3年累计的结果,平均每年减少约1.4万,平均每个乡镇减少约290人。相比于2县总共153万乡镇人口来说,平均每年减少0.9%。

目前,垫江县高安镇6.7万人,为第一大镇。忠县拔山镇和垫江县澄溪镇都在6万人左右,位居前三。垫江县和忠县没有入围全国1000大镇者,门槛在9万人。


二、土地面积、人口密度

人口密度的单位是每平方公里人数,1平方公里=100公顷=1500亩。

乡镇

人口密度

人均亩数

1

垫江县

澄溪镇

1017

1.5

2

垫江县

长龙镇

788

1.9

3

垫江县

太平镇

787

1.9

4

垫江县

黄沙镇

756

2.0

5

垫江县

高峰镇

731

2.1

6

垫江县

五洞镇

643

2.3

7

垫江县

高安镇

637

2.4

8

垫江县

坪山镇

633

2.4

9

垫江县

新民镇

624

2.4

10

垫江县

沙坪镇

620

2.4

11

忠县

磨子乡

591

2.5

12

垫江县

鹤游镇

581

2.6

13

垫江县

砚台镇

569

2.6

14

垫江县

周嘉镇

562

2.7

15

忠县

东溪镇

543

2.8

16

垫江县

曹回镇

532

2.8

17

垫江县

包家镇

531

2.8

18

忠县

花桥镇

524

2.9

19

垫江县

大石乡

512

2.9

20

忠县

双桂镇

497

3.0

21

垫江县

永安镇

495

3.0

22

垫江县

永平镇

487

3.1

23

垫江县

白家镇

485

3.1

24

垫江县

杠家镇

483

3.1

25

忠县

石宝镇

481

3.1

26

忠县

汝溪镇

460

3.3

27

忠县

官坝镇

429

3.5

28

忠县

新立镇

419

3.6

29

忠县

野鹤镇

417

3.6

30

忠县

黄金镇

408

3.7

31

忠县

马灌镇

403

3.7

32

垫江县

普顺镇

400

3.8

33

忠县

兴峰乡

394

3.8

34

忠县

金声乡

391

3.8

35

忠县

永丰镇

390

3.8

36

忠县

拔山镇

388

3.9

37

垫江县

沙河乡

380

4.0

38

忠县

复兴镇

369

4.1

39

忠县

洋渡镇

355

4.2

40

忠县

三汇镇

343

4.4

41

忠县

金鸡镇

336

4.5

42

垫江县

裴兴镇

320

4.7

43

忠县

任家镇

314

4.8

44

忠县

涂井乡

312

4.8

45

忠县

善广乡

303

5.0

46

忠县

白石镇

301

5.0

47

忠县

石黄镇

281

5.3

48

垫江县

三溪镇

266

5.6

49

忠县

石子乡

191

7.8

人口密度列:垫江县澄溪镇1017人每平方公里,最为密集。忠县石子乡191人每平方公里,最为稀疏。所有乡镇平均密度为483人每平方公里,中位乡镇(第25名)为481人每平方公里的忠县石宝镇。假设笔者这栋25层2单元2梯5户的大楼每户住2人的话(有的住3-4人,但也有空置率),可以住25*2*5*2=500人。两县的密度相当于全镇平均每平方公里住满1栋这样的大楼。

人均土地列:人均土地与人口密度成反比关系。总面积包含山水林田湖草沙等,扣除道路广场市政等公摊面积才是私人的土地。我国耕地占全部土地约14%,常说的18亿亩红线=120万平方公里占全部土地12.5%。


三、乡镇工业、规上工业、3年增减

下面是各乡镇工业情况,人口、厂店数据可以作为当地开厂开店、工作求职的参考。

乡镇

工业

规上

1

垫江县

澄溪镇

228

14

2

忠县

复兴镇

185

6

3

垫江县

高安镇

85

12

4

垫江县

沙坪镇

85

3

5

垫江县

高峰镇

80

3

6

垫江县

新民镇

80

1

7

忠县

汝溪镇

80

2

8

垫江县

长龙镇

78

11

9

垫江县

坪山镇

77

4

10

垫江县

杠家镇

75

3

11

垫江县

周嘉镇

55

4

12

垫江县

三溪镇

54

1

13

垫江县

黄沙镇

42

4

14

垫江县

五洞镇

41

2

15

忠县

官坝镇

40

1

16

忠县

新立镇

40

1

17

忠县

黄金镇

36

0

18

忠县

马灌镇

32

2

19

忠县

兴峰乡

32

0

20

垫江县

鹤游镇

31

2

21

忠县

永丰镇

31

0

22

垫江县

永平镇

30

0

23

垫江县

白家镇

30

1

24

忠县

涂井乡

30

0

25

垫江县

曹回镇

26

1

26

垫江县

永安镇

26

0

27

忠县

石黄镇

26

1

28

忠县

三汇镇

25

0

29

忠县

野鹤镇

24

0

30

忠县

拔山镇

24

4

31

忠县

东溪镇

22

1

32

忠县

金鸡镇

21

0

33

忠县

白石镇

21

2

34

垫江县

沙河乡

20

0

35

垫江县

普顺镇

18

1

36

垫江县

大石乡

17

0

37

垫江县

太平镇

16

4

38

忠县

石宝镇

16

1

39

忠县

任家镇

16

1

40

忠县

洋渡镇

15

0

41

忠县

双桂镇

13

0

42

忠县

花桥镇

12

0

43

忠县

金声乡

12

0

44

垫江县

裴兴镇

12

1

45

忠县

善广乡

10

0

46

忠县

磨子乡

8

1

47

垫江县

砚台镇

8

4

48

垫江县

包家镇

8

0

49

忠县

石子乡

3

2

垫江县澄溪镇、忠县复兴镇工业企业最多,说明营商环境优,工业基础好。澄溪镇在人口、人口密度、工业三个指标都上榜且第一,不是城关镇,县城为桂阳街道和桂溪街道。上规模大工业企业方面,垫江县高安镇和长龙镇排名靠前,工业实力强。近3年来,10个乡镇规上工业增加,15个乡镇规上工业减少,其余乡镇不变,总共增加4家规上工业,其中澄溪镇增加最多,工业发展最快,高安镇减少较多,拖了后腿。


免责声明:本文章如果文章侵权,请联系我们处理,本站仅提供信息存储空间服务如因作品内容、版权和其他问题请于本站联系