
垫江新地图(2023版)
垫江和忠县一共有49个乡镇。作者多年来已多次发布过相关县市、乡镇人口、土地、经济相关文章,现在进行年度更新,与2020数据进行对比性回顾。
一、户籍人口、3年增减下表中第4列为截止2022年底的户籍人口数,第5列为相比2019年底的人口增加(黑体字)和减少(红体字、负数)数目。
乡镇
人口
增减
1
垫江县
高安镇
66772
-1767
2
忠县
拔山镇
60529
-1938
3
垫江县
澄溪镇
59761
1894
4
垫江县
沙坪镇
50132
-1141
5
忠县
新立镇
48626
-4734
6
垫江县
坪山镇
47271
-565
7
垫江县
周嘉镇
47182
115
8
忠县
马灌镇
45956
-1887
9
忠县
黄金镇
44028
-1945
10
忠县
白石镇
43897
-1869
11
忠县
汝溪镇
43696
-1552
12
垫江县
砚台镇
43171
-1147
13
垫江县
永安镇
41352
-1349
14
忠县
官坝镇
41215
-2177
15
忠县
石宝镇
40854
-2053
16
垫江县
太平镇
40427
-401
17
垫江县
新民镇
39833
-369
18
垫江县
曹回镇
36118
-915
19
垫江县
普顺镇
35771
-844
20
忠县
三汇镇
34626
-1565
21
垫江县
高峰镇
34454
-642
22
垫江县
杠家镇
32992
-899
23
垫江县
长龙镇
30405
28
24
垫江县
白家镇
30403
-612
25
忠县
洋渡镇
28735
-750
26
垫江县
五洞镇
26886
-434
27
忠县
双桂镇
26352
-861
28
忠县
花桥镇
25672
-985
29
忠县
金鸡镇
24871
-1108
30
忠县
野鹤镇
24197
-1961
31
忠县
涂井乡
23717
-1661
32
垫江县
黄沙镇
22640
-112
33
垫江县
包家镇
22408
172
34
忠县
任家镇
22305
-1209
35
忠县
东溪镇
21182
1338
36
忠县
永丰镇
20666
-819
37
垫江县
裴兴镇
19214
-724
38
垫江县
鹤游镇
19048
-762
39
垫江县
永平镇
18507
-364
40
忠县
磨子乡
18318
-437
41
垫江县
三溪镇
17461
-1329
42
忠县
复兴镇
16614
-770
43
垫江县
大石乡
16197
-572
44
忠县
石黄镇
15472
-930
45
忠县
善广乡
15449
-190
46
忠县
金声乡
14483
-589
47
忠县
兴峰乡
11430
-598
48
垫江县
沙河乡
11370
-145
49
忠县
石子乡
7644
691

3年来,43个乡镇人口减少(表中红字、负数),6个乡镇人口增加。49个乡镇总共减少4.3万人。这是3年累计的结果,平均每年减少约1.4万,平均每个乡镇减少约290人。相比于2县总共153万乡镇人口来说,平均每年减少0.9%。
目前,垫江县高安镇6.7万人,为第一大镇。忠县拔山镇和垫江县澄溪镇都在6万人左右,位居前三。垫江县和忠县没有入围全国1000大镇者,门槛在9万人。

人口密度的单位是每平方公里人数,1平方公里=100公顷=1500亩。
乡镇
人口密度
人均亩数
1
垫江县
澄溪镇
1017
1.5
2
垫江县
长龙镇
788
1.9
3
垫江县
太平镇
787
1.9
4
垫江县
黄沙镇
756
2.0
5
垫江县
高峰镇
731
2.1
6
垫江县
五洞镇
643
2.3
7
垫江县
高安镇
637
2.4
8
垫江县
坪山镇
633
2.4
9
垫江县
新民镇
624
2.4
10
垫江县
沙坪镇
620
2.4
11
忠县
磨子乡
591
2.5
12
垫江县
鹤游镇
581
2.6
13
垫江县
砚台镇
569
2.6
14
垫江县
周嘉镇
562
2.7
15
忠县
东溪镇
543
2.8
16
垫江县
曹回镇
532
2.8
17
垫江县
包家镇
531
2.8
18
忠县
花桥镇
524
2.9
19
垫江县
大石乡
512
2.9
20
忠县
双桂镇
497
3.0
21
垫江县
永安镇
495
3.0
22
垫江县
永平镇
487
3.1
23
垫江县
白家镇
485
3.1
24
垫江县
杠家镇
483
3.1
25
忠县
石宝镇
481
3.1
26
忠县
汝溪镇
460
3.3
27
忠县
官坝镇
429
3.5
28
忠县
新立镇
419
3.6
29
忠县
野鹤镇
417
3.6
30
忠县
黄金镇
408
3.7
31
忠县
马灌镇
403
3.7
32
垫江县
普顺镇
400
3.8
33
忠县
兴峰乡
394
3.8
34
忠县
金声乡
391
3.8
35
忠县
永丰镇
390
3.8
36
忠县
拔山镇
388
3.9
37
垫江县
沙河乡
380
4.0
38
忠县
复兴镇
369
4.1
39
忠县
洋渡镇
355
4.2
40
忠县
三汇镇
343
4.4
41
忠县
金鸡镇
336
4.5
42
垫江县
裴兴镇
320
4.7
43
忠县
任家镇
314
4.8
44
忠县
涂井乡
312
4.8
45
忠县
善广乡
303
5.0
46
忠县
白石镇
301
5.0
47
忠县
石黄镇
281
5.3
48
垫江县
三溪镇
266
5.6
49
忠县
石子乡
191
7.8
人口密度列:垫江县澄溪镇1017人每平方公里,最为密集。忠县石子乡191人每平方公里,最为稀疏。所有乡镇平均密度为483人每平方公里,中位乡镇(第25名)为481人每平方公里的忠县石宝镇。假设笔者这栋25层2单元2梯5户的大楼每户住2人的话(有的住3-4人,但也有空置率),可以住25*2*5*2=500人。两县的密度相当于全镇平均每平方公里住满1栋这样的大楼。
人均土地列:人均土地与人口密度成反比关系。总面积包含山水林田湖草沙等,扣除道路广场市政等公摊面积才是私人的土地。我国耕地占全部土地约14%,常说的18亿亩红线=120万平方公里占全部土地12.5%。

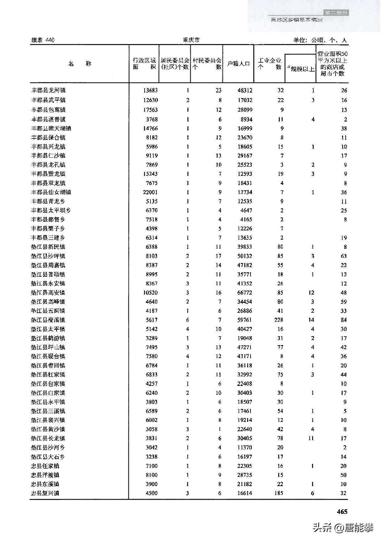
下面是各乡镇工业情况,人口、厂店数据可以作为当地开厂开店、工作求职的参考。
乡镇
工业
规上
1
垫江县
澄溪镇
228
14
2
忠县
复兴镇
185
6
3
垫江县
高安镇
85
12
4
垫江县
沙坪镇
85
3
5
垫江县
高峰镇
80
3
6
垫江县
新民镇
80
1
7
忠县
汝溪镇
80
2
8
垫江县
长龙镇
78
11
9
垫江县
坪山镇
77
4
10
垫江县
杠家镇
75
3
11
垫江县
周嘉镇
55
4
12
垫江县
三溪镇
54
1
13
垫江县
黄沙镇
42
4
14
垫江县
五洞镇
41
2
15
忠县
官坝镇
40
1
16
忠县
新立镇
40
1
17
忠县
黄金镇
36
0
18
忠县
马灌镇
32
2
19
忠县
兴峰乡
32
0
20
垫江县
鹤游镇
31
2
21
忠县
永丰镇
31
0
22
垫江县
永平镇
30
0
23
垫江县
白家镇
30
1
24
忠县
涂井乡
30
0
25
垫江县
曹回镇
26
1
26
垫江县
永安镇
26
0
27
忠县
石黄镇
26
1
28
忠县
三汇镇
25
0
29
忠县
野鹤镇
24
0
30
忠县
拔山镇
24
4
31
忠县
东溪镇
22
1
32
忠县
金鸡镇
21
0
33
忠县
白石镇
21
2
34
垫江县
沙河乡
20
0
35
垫江县
普顺镇
18
1
36
垫江县
大石乡
17
0
37
垫江县
太平镇
16
4
38
忠县
石宝镇
16
1
39
忠县
任家镇
16
1
40
忠县
洋渡镇
15
0
41
忠县
双桂镇
13
0
42
忠县
花桥镇
12
0
43
忠县
金声乡
12
0
44
垫江县
裴兴镇
12
1
45
忠县
善广乡
10
0
46
忠县
磨子乡
8
1
47
垫江县
砚台镇
8
4
48
垫江县
包家镇
8
0
49
忠县
石子乡
3
2
垫江县澄溪镇、忠县复兴镇工业企业最多,说明营商环境优,工业基础好。澄溪镇在人口、人口密度、工业三个指标都上榜且第一,不是城关镇,县城为桂阳街道和桂溪街道。上规模大工业企业方面,垫江县高安镇和长龙镇排名靠前,工业实力强。近3年来,10个乡镇规上工业增加,15个乡镇规上工业减少,其余乡镇不变,总共增加4家规上工业,其中澄溪镇增加最多,工业发展最快,高安镇减少较多,拖了后腿。

免责声明:本文章如果文章侵权,请联系我们处理,本站仅提供信息存储空间服务如因作品内容、版权和其他问题请于本站联系